Research and Applied Technology

Truth-Aligned AI

Seeking truth and integrity in the age of generative AI.

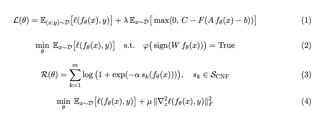
Coherascent Labs operates as a dual-mandate firm: advancing neuro-symbolic and deterministic AI research to reduce hallucination at the architectural level, while building educational technology that puts verifiable reasoning directly into the hands of students. Our research in formal logic, mathematical optimization, and model control informs the applied systems we are developing for handwritten reasoning, rigorous grading, and adaptive learning.

  • Remote-first
  • Research Started Jan 2026
  • Active Research Program

Dual Pillars

View Research Program

Pillar One

Foundational Research

  1. Neuro-Symbolic Bridge - Connecting explicit rule systems with data-driven Transformer architectures.

  2. Deterministic Architecture - Building control layers that force probabilistic agents to adhere to formal logic structures.

  3. Continuous DPLL & Optimization Cognition - Investigating SAT-style reasoning inside differentiable vector spaces and designing gradient ascent pathways to reveal latent cognitive states.

View Applied Platform

Pillar Two

Applied Technology

  1. The Educational Platform (In Development) - A cross-platform ecosystem designed to force active, offline cognitive engagement through tactile learning.

  2. Computer Vision & Verifiable Grading - Utilizing our truth-aligned architectural principles, the app ingests handwritten logic, parses the mathematical steps, and delivers rigorously accurate, hallucination-free feedback.

  3. Dynamic Remediation Engine - Scaling from elementary arithmetic to university-level mathematics, the system maps cognitive bottlenecks and generates targeted, adaptive practice loops driven by streak-based gamification and an immersive space-themed interface.

Unifying Methodology

The Symbiosis of Theory and Application

Theoretical rigor requires real-world validation. Our foundational research in mathematical optimization and high-dimensional calculus directly powers the deterministic grading engines of our educational platform. Conversely, deploying these models in a live, adaptive learning environment stress-tests our architectures, ensuring our pursuit of hallucination reduction is grounded in practical, measurable utility.